Temas
Aficiones
Biblioteca
Egipto y demás...
El Tiempo
Excursiones
Fotos
Física
Historia
Informática
Presentación
 
Anexo III
La transformación de Lorentz para las velocidades

Ya conocemos la transformación de Lorenz para las coordenadas:
 

x=γ(x'+βct')
y=y'
z=z'
t=γ(t'+βx'/c)
[17]

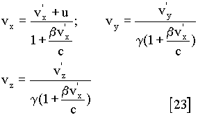
Diferenciando la primera y la cuarta:

    dx = γdx' + γβcdt'

    dt = γdt' + γβdx'/c

Dividiendo:

    vx = (dx/dt) = (γdx' + γβcdt') / (γdt' + γβdx'/c)

Dividiendo numerador y denominador por γdt' :

    vx = (dx/dt) = (v'x + βc) / (1 + v'x β/c) = (v'x + u) / (1 + v'x β/c)

Y operando análogamente con las coordenadas y y z obtenemos