8.-Cinemática
y dinámica relativista.
8.2.-Dilatación
del tiempo. Tiempo propio.
Según las ecuaciones de
transformación
de Lorentz, los intervalos temporales se verán afectados por
el movimiento relativo, de una forma similar a como se han visto afectados
los intervalos espaciales (longitudes) por la contracción de Lorentz-FitzGerald.
No es complicado deducir qué sucede a partir de las ecuaciones
[17] cuando se estudian dos acontecimientos
que suceden en la posición x' del sistema en movimiento:
Δt = t2-t1
= γ(t2'+βx'/c)
- γ(t1'+βx'/c)
= γ(t2'-t1')
o sea,
Sin embargo, la interpretación de este resultado ha de hacerse
con sumo cuidado. De entrada, se puede decir que un reloj situado en el
sistema estacionario mide unos intervalos de tiempo más grandes
entre dos acontecimientos que ocurren en un sistema inercial en movimiento
que los que mide un reloj situado en el propio sistema en movimiento.
Por ejemplo, supongamos que una nave espacial muy rápida, girando
alrededor de la Tierra, alcanza un valor de la velocidad que origina un
valor de γ =1.2. Por cada hora de tiempo
de la nave (reloj en el sistema móvil), desde la Tierra (reloj en
el sistema estacionario) se medirán 1.2 x 1=1.2 horas. Desde la Tierra aparece un efecto de dilatación del
tiempo, y se dice que los relojes de la nave van más despacio, retrasándose
respecto a los de la Tierra.
Podemos verlo con unos esquemas, pensando que estamos situados en la
Tierra. Inicialmente, sincronizamos el reloj de la nave y el terrestre
R'1 y R1,
de manera que t = t' = 0.
A lo largo de la superficie terrestre tenemos una red de observatorios
con una serie de relojes R1, R2,
R3,... que podemos suponer que están
sincronizados entre sí permanentemente.
La nave empieza a moverse con una velocidad u, y cuando pasa
por encima del primer observatorio se hacen las medidas de los relojes
R'1 y R2. Si el reloj de tierra
marca t, ¿que marca el de la nave?. De acuerdo con la ecuación
del tiempo de la transformación directa de Lorentz [16],
y teniendo en cuenta que x = L= ut, pondremos:
t '= γ(t-βx/c)
= γ(t-βut/c) = γt(1-β2)=t/γ
que es el mismo resultado obtenido en la ecuación [19] vista
más arriba, con t'<t.
Debido a que en la ecuación [19] el signo de u no tiene
ninguna trascendencia, el efecto descrito será simétrico:
desde la nave, al observar el intervalo entre dos acontecimientos en la
Tierra, haremos una medida más larga que la que se haría
en la propia Tierra. Visto desde la nave, son los relojes terrestres los
que van más lentos, retrasándose. Debido a esta simetría,
parece conveniente definir lo que se llama el tiempo propio
τ , que no es más que la medida de un intervalo
de tiempo en el sistema respecto al cual el reloj está fijo (es
lo que estábamos llamando hasta ahora Δt').
Por lo tanto, la medida Δt de este
intervalo de tiempo propio visto desde cualquier otro sistema inercial
será, de acuerdo con la ecuación [19],
Así, el tiempo propio, medido en el sistema respecto al cual
un reloj está quieto, es el más corto de todos, alargándose
la medida si se hace desde otro sistema inercial en movimiento. (Obsérvese
que es exactamente lo contrario de lo que sucedía con la longitud,
máxima en el reposo)
No debe verse nada extraño en esta dilatación del tiempo,
que evidentemente no es culpa de los relojes, sino de la invarianza de
c.
Puede costar entender cómo suceden las cosas, pero desde luego está
claro que nuestras ideas intuitivas sobre el tiempo también deben
ser revisadas. Un reloj quieto en S indicará el tiempo propio
si se le observa por una persona en reposo también en S;
el mismo reloj en reposo en S' medirá el mismo tiempo propio
cuando lo observe una persona en reposo en S'; pero cuando observemos
desde un sistema un intervalo de tiempo en el otro sistema, la medida será
mayor que el tiempo propio, esencialmente debido a que la luz tarda un
cierto tiempo en llegarnos con la información temporal. (
Ver
Nota 3
)
Evidentemente, cuando se consideraba en la física clásica
que la velocidad de la luz tenía un valor infinito, este efecto
de dilatación temporal no podía considerarse teóricamente...
Desde un punto de vista práctico, tenemos muchos ejemplos que
demuestran experimentalmente la dilatación del tiempo, a veces junto
con la contracción de la longitud. Uno de los más clásicos
es el de la desintegración de los mesones
μ
.
Estas partículas se producen en lo alto de la atmósfera
debido a la acción de otras partículas cósmicas muy
rápidas, y son fácilmente detectables a nivel del mar en
cantidades significativas. Los mesones μ
son partículas inestables, que se desintegran en 2 x
10-6 s por término medio desde su
creación, y que tienen una velocidad media de 2.994 x
108 m/s, que supone casi la velocidad de
la luz.
En principio, con esa velocidad y con ese tiempo de vida podrían, como mucho, bajar desde una altura h = ut = 2.994 x 108 x 2 x 10-6=
600 m aproximadamente. Sin embargo, sabemos que se producen a una altura
muy superior. ¿Cómo puede explicarse esta contradicción?
Observemos el acontecimiento desde el sistema de referencia del mesón,
en el que la vida de éste es de 2 x 10-6
s (tiempo propio) y la máxima distancia que puede recorrer es de
600 m. El mesón ve afectada la distancia a recorrer debido a la
contracción de Lorentz-FitzGerald, y de acuerdo con la ecuación
[18] pondremos:
h=γ h'=
que es lo que nosotros observamos desde la Tierra.
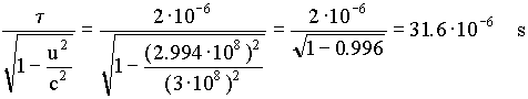
Sea ahora un observador en la Tierra el que describe el fenómeno.
Observa que el mesón se forma a unos 9500 m de altura, pero al medir
su tiempo de vida lo ve dilatado, puesto que, de acuerdo con la ecuación
[20], pondremos:
Δt=γ t
=
y en ese tiempo el mesón puede recorrer una distancia en el sistema
de referencia de la Tierra dada por
h = ut = 2.994 x 108 x 31.6 x
10-6 = 9461 m, lo cual está totalmente
de acuerdo con la experiencia.
Debe hacerse notar que ambas interpretaciones conducen a una interpretación
correcta desde el punto de vista experimental, pero que son radicalmente
diferentes en cuanto al razonamiento empleado:
El
mesón
tiene una percepción de su tiempo propio de vida, y si logra
llegar a la Tierra sólo puede interpretarlo diciendo que la distancia
a recorrer se ha acortado.
El
observador
terrestre tiene una percepción de la distancia a recorrer,
y si ve llegar al mesón al suelo sólo puede interpretarlo
diciendo que éste ha alargado su tiempo de vida.