2.-El
comportamiento de una cuerda de escalada
2.1.-Una caída asegurada
estáticamente
2.1.2.-Ecuación fundamental
de la caída
Nuestro objetivo ahora es relacionar entre sí las magnitudes
fundamentales que intervienen en la caída del escalador. Supondremos
que no se pierde energía (al menos en la primera oscilación)
por disipación del calor generado en la fibra de la cuerda debido
al estiramiento, y que éste permanece dentro de los límites
en los cuales se cumple la ley de Hooke.
A fin de facilitar la discusión que sigue, establecemos el origen
de energía potencial en el punto más bajo de la caída,
C.
En el momento de la caída desde B el escalador sólo
tiene energía potencial gravitatoria, y en el punto más bajo
C
toda la energía se ha transformado en energía potencial elástica
almacenada en la cuerda. Tendremos que:
Energía potencial en B
Energía elástica en C
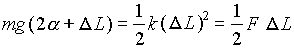
Tensión de frenado en C =
Igualando ambas energías y teniendo en cuenta el valor de la tensión
de frenado tendremos que
y operando:
Recordando
la expresión (5) en
la que definíamos el módulo de Young, podemos substituir
su valor:
(7)
En el peor caso posible, el escalador no ha colocado ningún seguro
intermedio,
= 1, cae una longitud 2L+
L , y resulta:
(8)
En el mejor de los casos, el escalador se cae justo cuando pone
la clavija, sólo baja lo que la cuerda cede,
L,
y se obtiene entonces que:

(9)
En las expresiones (7), (8), y (9) se observa que la tensión
de frenado no depende para nada de la longitud total L de la cuerda.
Como se ve en la (7), la tensión de frenado de una caída
depende de la masa que cae m, del valor de la gravedad g,
del módulo de Young de la cuerda E, de la sección
de ésta S y del factor de riesgo
que el escalador acepte. Por tanto, con una misma cuerda, todas las caídas
con un mismo
producen una misma tensión
de frenado. Lo que será diferente en cada caída será
el alargamiento absoluto
L, la velocidad
alcanzada, el tiempo de frenado, la amplitud de las oscilaciones,...pero
en el punto más bajo de la caída, sometida la cuerda a la
mayor tensión de todas, ésta será única en
todas las caídas con el mismo factor de riesgo.
Al igualar las energías potenciales escribíamos
que
, por lo que podemos poner
(10)
expresión que también pone de manifiesto que F
depende del alargamiento relativo y no de la longitud total de la cuerda.
De hecho ya habíamos llegado a esta importante conclusión
en la expresión (6).